请进行人机身份验证
结构式检索
中文
中文
English
首页
产品中心
公司业务
药物发现
工艺研究与开发服务
高级中间体开发与生产
超净高纯试剂
关于我们
企业文化
研发与创新
发展与荣誉
质量管理
加入我们
联系我们
积分商城
账户
登录
新用户?
立即注册
购物车
0
有机硫试剂
有机硫试剂
API中间体
呼吸系统用药
消化系统用药
内分泌系统用药
泌尿系统用药
神经系统用药
心血管药
抗肿瘤药
抗菌药
抗病毒药
其他
有机磷试剂
有机磷试剂
脂肪族
炔烃
烯烃
烷烃
有机金属试剂
有机金属试剂
API相关化合物
API相关化合物
有机合成试剂
有机合成试剂
核苷类
核苷类
芳香杂环化合物
其它芳香杂环化合物
喹啉
吲哚
哒嗪
吡嗪
嘧啶
吡啶
噻唑
噁唑
咪唑
吡唑
吡咯
噻吩
苯环类化合物
酚
腈
卤化物
苯胺
醇
醛&酮
酸&酯
硼酸&硼酸酯
芳香族硼酸&硼酸酯
脂肪族硼酸&硼酸酯
脂肪族杂环化合物
其它脂肪族杂环化合物
螺环类化合物
氧杂环丁烷
氧杂环丙烷
氮杂环庚烷
吗啉
哌嗪
哌啶
吡咯烷
氮杂环丁烷
氮杂环丙烷
先导化合物
先导化合物
首页
>
产品目录
>
苯环类化合物
>
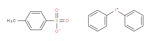
对甲苯磺酸盐二溴苯基碘
对甲苯磺酸盐二溴苯基碘
Diphenyliodonium 4-methylbenzenesulfonate
CAS NO.:
6293-66-9
产品编号:
AD125208
MDL NO.:
MFCD00467678
分子量:
452.30
分子式:
C
1
9
H
1
7
IO
3
S
规格
库存
目录价
会员专享价
数量
加入购物车
1g
现货
需验证
登录后可见
-
+
5g
现货
需验证
登录后可见
-
+
MSDS搜索
发送询价
立即购买
相关产品
基础信息
安全信息
产品详情
相关文献
相关产品
抱歉,暂无相关产品
基础信息
Cas No.
6293-66-9
中文名称
对甲苯磺酸盐二溴苯基碘
英文名称
Diphenyliodonium 4-methylbenzenesulfonate
MDL No.
MFCD00467678
分子式
C
1
9
H
1
7
IO
3
S
分子量
452.30
性状
熔点
沸点
密度
水溶解性
安全信息
UN No.
安全说明
存储要求
室温
理化性质
化学稳定性
运输要求
正常
产品详情
抱歉,暂无产品详情
相关文献
抱歉,暂无相关文献
在线客服
0
购物车
会员中心
反馈建议
返回顶部